Skip to content

Photosynthesis

David Chen edited this page Aug 17, 2018 · 3 revisions

Photosynthesis

[[TOC]]

Process based photosynthesis is described here and the effect of increasing CO2 concentrations, referred to as CO2 fertilization

Description

Photosynthesis is calculated as a function of absorbed photosynthetically radiation (APAR), temperature, daylength, and canopy conductance. LPJ calculates photosynthesis and updates daily the water balance concurrently for each PFT present. LPJ adopts a so-called mixed grid cell approach with each PFT occupying a given fraction of the grid cell.

Photosynthesis requires the following information

Details

APAR is calculated for each PFT from the net photosynthetically active radiation (PAR) multiplied by the fraction of incoming PAR absorbed by green vegetation (FPAR) given by

where

dphenPFT is the average daily phenology status expressed as a fraction between 0 and 1 representing the fraction of full leaf coverage currently attained by the PFT. FPCPFT is the foliage projective cover of respective PFT.

Gross photosynthesis rate Ag is the minimum of

Daily net photosynthesis And is given by

with leaf respiration RD=b· VR so that VR is included in JC and RD. To calculate optimal And, the zero point of the first derivative is calculated (i.e. ). The so derived maximum Rubisco capacity VM is

with

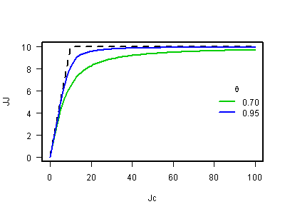
The form of JJ as a function of JC can be visualized for different values of θ when JE is assumed to be 10 with

Values for θ close to one are reported by Collatz et al. (1990, Plant, Cell and Environment), Collatz et al. (Agricultural and Forest Meteorology, 1991).
The net daytime photosynthesis is given by adding the dark respiration:

This is a bit confusing because this correction assumes that dark respiration occurs only during daytime.

In addition the photosynthesis rate can be related to canopy conductance through the CO2 diffusion gradient between the atmosphere and intercellular air spaces:

where gmin is the PFT-specific minimum canopy conductance scaled by FPC. Combining both methods determining Adt as AV1 and AV2 gives:

This equation has to be solved for λ which is not possible analytically because of occurrence in And and in the second term. Therefore a numerical bisection algorithm is used to obtain λ solving the equation. Canopy conductance is calculated as a function of potential photosynthesis rate and water stress, through coupling of the photosynthesis and water balance modules.

How was the photosynthesis equation derived

Farquhar et al. (1980)

Farquhar et al. (1980) developed a model of photosynthetic assimilation of CO2 in C3 species leaves. This model estimates leaf photosynthesis by simulating and integrating its biochemical processes at the sub-organelle level. The model outputs are compatible with their direct comparison with measurements of gas exchange and other variables carried out at the same level of detail (leaf). Farquhar model estimates the net photosynthesis (An) as a function of environmental variables (CO2 concentration, light and temperature).

Collatz et al. (1991)

Collatz et al. (1991) developed a model to estimate the aggregate stomatal conductance of leaves (gs) as a function of An; CO2 and H2O concentration in the air. This model also estimate the leaf energy balance, by combining the two sub-models of An and gs.

For Collatz et al. (1991) purposes, the “Photosynthesis sub-model” serves to provide the value of An, required by the “stomatal conductance sub-model”. A (the photosynthetic rate) is computed as in Farquhar et al. (1980):

A is the minimum rate among three separate rate expressions (J), each representing a rate-limitation step.

Je(Qp, a, pi, Tl) is photosynthetic rate, limited by light
Jc(Vm, pi, Tl) is photosynthetic rate, limited by Rubisco
Js(Tl,Vm) is photosynthetic rate, limited by sucrose synthesis
Rd(Tl,Vm) is the rate of “day respiration”

Je, Jc, Js are functions of kinetic constant, leaf properties and environmental factors. The parameters that may vary from leaf to leaf are the absorbance to photosynthetically active photons (Qp), and the maximum capacity of the carboxylase reaction (Vm). Qp is incident flux of photosynthetic active photons; a is the absorbance to Qp; pi is the partial pressure of CO2 in the intercellular air spaces of the leaf; Tl leaf temperature; Vm is the catalytic capacity.

An is transformed to a continuous function with a smooth transition from one limiting factor to another using nested quadratic equations. In practice the solve two quadractic equations (A8 and A9 in: Collatz et al., 1991) for their smaller roots. The solution is given by the quadratic formula for the roots of the general quadratic equation:

that is how the photosynthesis rate assumes its form (see eq. for And).

The two sub-models (stomatal conductance and photosynthesis ) are interdependent at the leaf level (An requires gs, and gs require An). A simultaneous solution of the two can only be obtained by numerical methods.

Haxeltine and Prentice (1996a,b)
Their photosynthesis model is based on Farquhar et al. (1980) and Collatz et al. (1991). They calculate Je, Jc, Rd as in Collatz et al. (1991), but not considering Js.

Furthermore, instead of prescribing values for the Rubisco capacity (Vm), they developed an optimization algorithm to predict the value of Vm (monthly). It gives the maximum, non-water stressed, daily rate of net photosynthesis. This has the important feature that it can predict light efficiencies independently of PAR (Haxeltine and Prentice, 1996b). The resulting model has the form of a “light use efficiency” model but the underlying theory makes it possible to predict the light-use efficiency from environmental variables (Sitch et al., 2003).

Another difference with Collatz et al. (1991) is due to the introduction of the parameter λ, which is equal to the (constant) ratio of intercellular (ci) to ambient (ca) CO2 concentration. So eq. A4 (Collatz et al., 1991) is replaced by ci=λ· ca (Haxeltine and Prentice, 1996a, pg. 554). The lambda value used in the photosynthesis function is its maximum value under non-water stressed conditions (Eq.7 in: Haxeltine and Prentice, 1996b). The use of this parameter, avoids the interdependence of the maximum daily photosynthetic rate and stomatal conductance.
In this way the maximum potential photosynthesis rate and the maximum potential canopy conductance (gp) realizable under non-water-stressed condition are computed.

The following step is then to calculate the photosynthesis rate under water-stressed conditions:

Water-stress results in a lower average day time canopy conductance (gc), which is computed by Eq. 20 (Haxeltine and Prentice, 1996b).

A water stressed lambda value (lower than the optimal one) is needed, because photosynthesis may be related to canopy conductance through the diffusion gradient in CO2 concentration implied by the difference in CO2 concentration between the atmosphere and intercellular air spaces (Eq. 18 in: Haxeltine and Prentice, 1996b). lambda is computed by a bisection method (an iterative mathematical procedure to find a solution which is known to lie inside an certain interval?).

[In LPJmL code, Photosynthesis.c comes before AET computation, since it is called by gp.]?

Technical Notes

Main function(s)

source:trunk/src/lpj/photosynthesis.c, source:trunk/src/lpj/temp_stress.c and source:trunk/src/lpj/water_stressed.c

Input and parameters

Parameters are defined in source:trunk/par/param.par

Developer(s)

The photosynthesis module has been developed by Stephen Sitch, Alex Haxeltine and Colin I. Prentice based on the Farquhar photosynthesis scheme.

See Also

Plant functional types, Water-vegetation_interactions, CO2 fertilization effect, water balance

References

S. Sitch, The role of vegetation dynamics in the control of atmospheric CO$_2$ content, Doctoral Thesis, Lund University, Sweden, pp. 7-10, 2000.

Farquhar, G.D., Caemmerer, S. von, Berry, J.A., 1980. A biochemical model of photosynthetic CO2 assimilation in leaves of C3 species. Planta 149, 78–90.

Collatz, G. J., Ball, J. T., Grivet, C., & Berry, J. A. (1991). Physiological and environmental regulation of stomatal conductance, photosynthesis and transpiration: a model that includes a laminar boundary layer. Agricultural and Forest Meteorology, 54(2), 107-136.

Haxeltine, A., & Prentice, I. C. (1996). A general model for the light-use efficiency of primary production. Functional Ecology, 551-561.

Haxeltine, A., & Prentice, I. C. (1996). BIOME3: An equilibrium terrestrial biosphere model based on ecophysiological constraints, resource availability, and competition among plant functional types. Global Biogeochemical Cycles, 10(4), 693-709.

Clone this wiki locally